统计与数据科学学院学生在2025年全国大学生数学竞赛中喜获佳绩
时间:2025-12-29
来源:统计与数据科学学院 作者:葛瑞琳 编辑:葛瑞琳、李欣蕊、陈子轩 浏览次数:
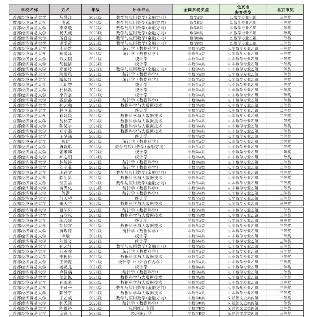
在2025年全国大学生数学竞赛中,统计与数据科学学院学生斩获全国奖项18项、北京市奖项58项。
全国奖

北京市奖

全国大学生数学竞赛是由中国数学会主办的一项面向本科生的全国性高水平学科竞赛,已成为全国影响最大、参加人数最多的学科竞赛之一。学院高度重视学生创新实践能力培养,做好学科竞赛的组织管理工作,学生优异成绩的取得彰显了学院教学改革成效和育人成果。统院青年将继续在学科竞赛中开拓视野、锤炼本领,以期未来再创佳绩!
首经贸新闻网版权与免责声明: ①凡本网未注明其他出处的作品,版权均属于首经贸新闻中心,未经本网授权不得转载、摘编或利用其它方式使用上述作品。已经本网授权使用作品的,应在授权范围内使用,并注明“来源:首经贸新闻网”。违反上述声明者,本网将追究其相关责任。 ② 凡本网注明其他来源的作品,均转载自其它媒体,转载目的在于传递更多信息,并不代表本网对其负责。 ③ 有关作品内容、版权和其它问题请与本网联系。 ※ 联系方式:首经贸新闻中心 Email:xcb@cueb.edu.cn
最新新闻
学校要闻

